○丹波市地域経済牽引事業の促進による地域の成長発展の基盤強化に関する法律第9条第1項の規定に基づく準則を定める条例
平成21年12月24日
条例第42号
(趣旨)
第1条 この条例は、地域経済牽引事業の促進による地域の成長発展の基盤強化に関する法律(平成19年法律第40号。以下「法」という。)第9条第1項の規定に基づき、工場立地法(昭和34年法律第24号)第4条第1項の規定により公表された準則(以下「法準則」という。)に代えて適用すべき準則を定めるものとする。
(定義)
第2条 この条例における用語の意義は、法及び工場立地法において使用する用語の例による。
区域の範囲 | 緑地の面積の敷地面積に対する割合 | 環境施設の面積の敷地面積に対する割合 |
法第4条第6項の規定による同意を得た基本計画に定める重点促進区域において市が指定する工場立地特例対象区域 | 100分の10以上 | 100分の15以上 |
(緑化の質的な充実)
第4条 前条の規定により、緑地及び環境施設の面積のそれぞれの敷地面積に対する割合を法準則で定める割合より低い割合で当該緑地及び環境施設を整備しようとする者は、周辺の地域における生活環境を保持するため、緑化の質的な充実に努めなければならない。
附則
(施行期日)
第1条 この条例は、平成22年1月1日から施行する。
(1) 当該生産施設の面積の変更に伴い設置する緑地の面積

ただし、
>0.1S-G1>0のときは、G≧0.1S-G1とし、0.1S-G1≦0のときはG≧0とする。
これらの式において、G、P、γ、G0、S及びG1は、それぞれ次の数値を表すものとする。
G 当該変更に伴い設置する緑地の面積
P 当該変更に係る生産施設の面積
γ 当該既存工場等が属する法準則別表第1の上欄に掲げる業種についての同表の下欄に掲げる割合
G0 当該変更に係る届出前に設置されている緑地(当該届出前に届け出られた緑地の面積の変更に係るものを含む。)の面積の合計のうち、昭和49年6月29日以後の当該変更以外の生産施設の面積の変更に伴い最低限設置することが必要な緑地の面積の合計を超える面積
S 当該既存工場等の敷地面積
G1 当該変更に係る届出前に設置されている緑地(当該届出前に届け出られた緑地の面積の変更に係るものを含む。)の面積の合計
(2) 当該生産施設の面積の変更に伴い設置する環境施設の面積

ただし、
>0.15S-E1>0のときは、E≧0.15S-E1とし、0.15S-E1≦0のときはE≧0とする。
これらの式において、E、P、γ、E0、S及びE1は、それぞれ次の数値を表すものとする。
E 当該変更に伴い設置する環境施設の面積
P 当該変更に係る生産施設の面積
γ 当該既存工場等が属する法準則別表第1の上欄に掲げる業種についての同表の下欄に掲げる割合
E0 当該変更に係る届出前に設置されている環境施設(当該届出前に届け出られた環境施設の面積の変更に係るものを含む。)の面積の合計のうち、昭和49年6月29日以後の当該変更以外の生産施設の面積の変更に伴い最低限設置することが必要な環境施設の面積の合計を超える面積
S 当該既存工場等の敷地面積
E1 当該変更に係る届出前に設置されている環境施設(当該届出前に届け出られた環境施設の面積の変更に係るものを含む。)の面積の合計
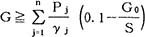
(1) 当該生産施設の面積の変更に伴い設置する緑地の面積

ただし、
>0.1S-G1>0のときは、G≧0.1S-G1とし、0.1S-G1≦0のときはG≧0とする。
これらの式において、G、n、Pj、γj、G0、S及びG1は、それぞれ次の数値を表すものとする。
G 当該変更に伴い設置する緑地の面積
n 当該既存工場等が属する業種の個数
Pj 当該変更に係るj業種に属する生産施設の面積
γj j業種についての法準則別表第1の下欄に掲げる割合
G0 当該変更に係る届出前に設置されている緑地(当該届出前に届け出られた緑地の面積の変更に係るものを含む。)の面積の合計のうち、昭和49年6月29日以後の当該変更以外の生産施設の面積の変更に伴い最低限設置することが必要な緑地の面積の合計を超える面積
S 当該既存工場等の敷地面積
G1 当該変更に係る届出前に設置されている緑地(当該届出前に届け出られた緑地の面積の変更に係るものを含む。)の面積の合計
(2) 当該生産施設の面積の変更に伴い設置する環境施設の面積

ただし、
>0.15S-E1>0のときは、E≧0.15S-E1とし、0.15S-E1≦0のときはE≧0とする。
これらの式において、E、n、Pj、γj、E0、S及びE1は、それぞれ次の数値を表すものとする。
E 当該変更に伴い設置する環境施設の面積
n 当該既存工場等が属する業種の個数
Pj 当該変更に係るj業種に属する生産施設の面積
γj j業種についての法準則別表第1の下欄に掲げる割合
E0 当該変更に係る届出前に設置されている環境施設(当該届出前に届け出られた環境施設の面積の変更に係るものを含む。)の面積の合計のうち、昭和49年6月29日以後の当該変更以外の生産施設の面積の変更に伴い最低限設置することが必要な環境施設の面積の合計を超える面積
S 当該既存工場等の敷地面積
E1 当該変更に係る届出前に設置されている環境施設(当該届出前に届け出られた環境施設の面積の変更に係るものを含む。)の面積の合計
附則(平成29年12月21日条例第35号)
(施行期日)
1 この条例は、公布の日から施行する。
(経過措置)
2 企業立地の促進等による地域における産業集積の形成及び活性化に関する法律の一部を改正する法律(平成29年法律第47号)の施行前に同法による改正前の企業立地の促進等による地域における産業集積の形成及び活性化に関する法律(以下「旧法」という。)第5条第5項の規定による同意を得た同条第1項に規定する基本計画(以下この項において「旧同意基本計画」という。)は、なおその効力を有するものとし、当該旧同意基本計画に関する旧法第10条及び第11条に規定する工場立地法(昭和34年法律第24号)の特例については、なお従前の例による。